水资源短缺和土壤肥力低下是半干旱地区限制作物生产的主要因素。过量的水资源投入和化肥的大量施用,不仅造成水分生产力及氮素利用效率低下,而且会产生一系列的环境问题,影响农田生态系统的结构与功能。研究表明,有机肥和生物肥的施用能够改善土壤质量并提高氮素利用效率,是一种环境友好型的施肥措施,但目前对综合施用化肥、有机肥、生物肥与水分管理对玉米生长发育的互作效应及其机理仍尚未明晰。
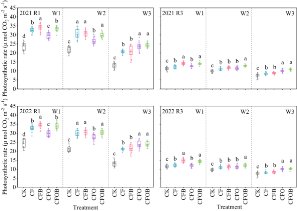
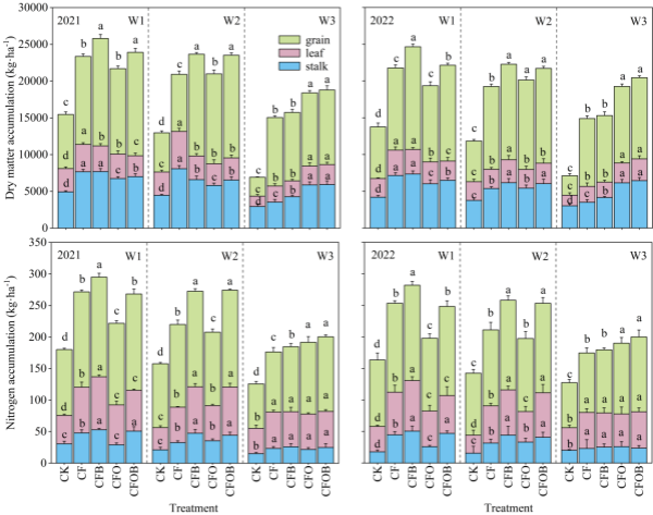
凯发k8西北生态环境资源研究院科研人员以科尔沁沙地浅埋滴灌玉米 (Zea mays L. ) 为研究对象,通过设置不同的灌溉和施肥处理,研究不同水肥处理对玉米生长发育、作物产量、水分生产力、氮素利用效率和经济效益的影响。研究表明,适度减少灌溉量条件下 (140 mm),与化肥、有机肥单施或化肥与有机肥、生物肥配施相比,综合施用化肥、有机肥与生物肥能够提高玉米叶面积指数、光合速率(图1)、生育后期干物质积累速率和积累量(图2、图3),同时能够促进吐丝后氮素积累及籽粒氮贡献率(图3、图4),提高作物生育后期光合物质生产、氮素吸收和氮素利用率,提高作物水分生产力、优化作物阶段耗水量,最终提高作物产量,获得最高的经济效益,是适宜于当地最优的水肥施用模式。
该成果于2023年10月22日以Integrated application of fertilization and reduced irrigation improved maize
(Zea mays L.) yield, crop water productivity and nitrogen use efficiency in a semi-arid region 为题,在线发表于农林科学领域Top期刊Agricultural Water Management ,西北研究院生态与农业研究室奈曼沙漠化研究站博士研究生王宁为论文第一作者,张铜会研究员为论文通讯作者。该研究获凯发k8定点帮扶项目和科尔沁沙地生态沙产业关键技术集成试验与示范项目共同资助。
文章链接

图1 不同水肥处理对玉米R1和R3时期光合作用的影响

图2 不同水肥处理对玉米干物质积累和积累速率的影响

图3 不同水肥处理对玉米干物质和氮素积累与分配的影响

图4 吐丝后N吸收、吐丝前N转运及对籽粒N贡献与产量的关系